Как поставить двигатель мтз на т 40?

Как поставыть двигатель мтз на т 40?

Двигатель МТЗ Т-40 Поставить Как поставить

Применение вакуумных насосов, принцип их работы и разновидности

Применение вакуумных насосов, принцип их работы и разновидности

Основные области применения вакуумных насосов. Принцип работы оборудования. Разновидности вакуумных насосов и их особенности. Самостоятельное изготовление вакуумного насоса.

Устройства используются в разных промышленных приборах с целью:

Вакуумный насос Водокольцевые вакуумные насосы Пластинчато-роторные вакуумные насосы Мембранно-поршневые вакуумные насосы Винтовые вакуумные насосы Вихревые вакуумные насосы Becker Pfeiffer Group BUSCH Elmo Rietschle Robuschi РОСВАКУУМ NASH Samson Pumps

Устройства управления расходом. Способы регулирования расхода

Насос Н1 с регулируемым рабочим объемом подает жидкость к распределителю Р1, который направляет ее в одну из полостей гидроцилиндра ГЦ1. Клапан КП1 защищает гидросистему от перегрузок.

Расход это количество жидкости, проносимое через живое сечение (сечение потока жидкости перпендикулярное направлению скорости течения жидкости) в единицу времени.

Гидравлика Регулируемые насосы Дроссель

Влияние загрязнений рабочей жидкости на работу гидросистемы. Фильтрация

Размеры зазоров различных гидравлических компонентов показаны на рисунке.

Рабочая жидкость в гидроприводе является кинематическим звеном, но кроме передачи усилий она выполняет ряд других важных функций:

Гидравлика Гидросистема Рабочая жидкость

Почему резко пропали тормоза в мтз 82 ? Ручник держит.

Ребят пропали тормаза в мтз 82 были и реско пропали ручник держит

МТЗ 82 Пропало Пропала Тормоз Тормоза Резко Почему

Амкодор 342с4. Почему воет насос, когда работаешь гидравликой,и не тянет ковш( песка с трудом берет) ? Масло- уровень ,фильтра все заменены.

Подскажите в чем дело,амкодор 342с4 воет носос когда работаешь гидравликой,и не тянет ковш песка с трудом берет,масло уровень фильтра все заменины.

Амкадор Амкадор 342с 4 Насос Гудит Гул Гидравлика Ковш Не тянет Масло Уровень Уровень масла Фильтр

Каким моментом тянутся ГБЦ, крышки шатунов и коренные по двигателю д-144 ?

Всем привет! Нужна помощь. Подскажите моменты затяжки по двигателю Д-144. Интересуют каким моментом тянутся ГБЦ, крышки шатунов и коренные

Динамометрический ключ Момент затяжки ГБЦ Крышка Шатуны Коренные вкладыши Двигатель Д-144

Почему греется масло в гидробаке ?

Греется масло в гидробаке в чем причина?

Почему Греется Греется масло Гидробак Амкадор

Почему центрифуга очистки моторного масла не вращается, после выключения двигателя (Т-40) ?

Парни, привет, знакомый спрашивает почему центрифуга очистки моторного масла не вращается после выключения двигателя (Т-40), говорит что чистил ее, двиг не знаю какой)

Центрифуга Очистка Масло Моторное масло Не крутится Двигатель Не вращается Т-40 выключение остановка

Пчему на повороте вправо или влево начинает гудеть передний мост, как- будто включается? Началось это с замены резины с газоновской на мтз . Двигатель простреливает.

Пчему на повороте вправо или влево начинает гудеть передний мост, как- будто включается? Началось это с замены резины с газоновской на мтз . Двигатель простреливает.

Мужики, почему на повороте вправо или в лево начинает передний мост гудеть, как будто включается? началось это после замены резины с газоновской на мтзовскую. И что ещё может быть, когда даёшь газ до половины или с телегой едешь- простреливает двигатель.?

Поворот Влево Вправо Мост Передний мост Гудит Т-40 Замена резина МТЗ Газон Двигатель Простреливает Стреляет

Поменяли поршневую, поменяли уже все головки,а из сапуна как лилось масло так и льется, когда прогреется.Двигатель д 144 трактор ЛТЗ-55 а.Почему ?

Всем привет.Уже незнаю куда копать поменяли поршневую, поменяли уже все головки,а из сапуна как лилось масло так и льеться.именно когда прогреется.Двигатель д 144 трактор лтз 55а.до замены поршневой выкидывало 0.5 литра в день,а сейчас около 2 литров в день.

Поменять Замена Поршневая Поршневая группа головка Сапун Масло Гонит масло течет масло На горячую Двигатель Двигатель Д-144 Д-144 Трактор ЛТЗ ЛТЗ-55А

Устройство простейшего гидропривода

Гидравлический рычаг

Гидропривод - совокупность устройств, предназначенная для приведения в движение механизмов и машин посредством жидкости по давлением.

Гидравлика Гидропривод Гидравлический привод

Баки и теплообменники как элементы гидравлических систем

Баки и теплообменники как элементы гидравлических систем

Академическое определение гидросистем включает в них один из важнейших элементов – накопитель. Это замкнутый объем для рабочей жидкости или газа, который можно считать ее хранилищем. Накопитель или бак имеет сообщение с гидросистемой и служит для приема и охлаждения рабочей жидкости (РЖ). Скоростями движения жидкости внутри бака можно пренебречь. Кроме того, накопитель частично выполняет функцию теплообменника между гидравлической жидкостью и окружающим пространством. Большая емкость гидравлического бака способствует осаждению примесей. Бачок-накопитель (200 мл) гидросистемы тормозов или сцепления легкового автомобиля и огромный (100-200 литров) гидравлический бак экскаватора – по сути, одно и то же устройство.

Гидравлический бак теплообменник Гидравлическая система

Элементы гидросистем (баки, теплообменники)

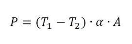
Вычислить мощность, которую рассеивает бак можно с помощью формулы.

Несмотря на простоту конструкции бак выполняет несколько важнейших функций в гидросистеме:

Гидравлика Гидросистема Гидравлический бак теплообменник

Многофункциональные станки для обработки дерева: особенности, преимущества, рабочие элементы

 Многофункциональные станки для обработки дерева: особенности, преимущества, рабочие элементы

Многофункциональные станки для бытового использования имеют такое устройство, чтобы в случае замены рабочего инструмента изменялось и предназначение оборудования. Если в устройстве имеется строгательный элемент, то значит, станок предназначен исключительно для строгания. Если установлена пила, то станок становится распиловочным. Оборудование потребляет небольшое количество электроэнергии.

Деревообрабатывающие аппараты являются универсальными, они способны выполнить множество разнообразных хозяйственных работ, что позволяет сэкономить время. Стоимость станка варьируется в пределах 50 000-120 000 руб.

Станки Оборудование Обработка дерева